Method

AFCAP [AFCAP]


Submitted on 3 Nov. 2025 12:49 by
键 祝 (southeast university)

Running time:0.1 s
Environment:1 core @ 2.5 Ghz (Python)

Method Description:
AFCAP
Parameters:
NONE
Latex Bibtex:

Detailed Results

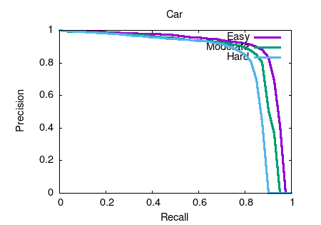
Object detection and orientation estimation results. Results for object detection are given in terms of average precision (AP) and results for joint object detection and orientation estimation are provided in terms of average orientation similarity (AOS).


Benchmark Easy Moderate Hard
Car (Detection) 94.50 % 91.35 % 88.46 %
Car (Orientation) 94.48 % 91.19 % 88.23 %
Car (3D Detection) 79.72 % 71.91 % 67.66 %
Car (Bird's Eye View) 89.14 % 85.19 % 80.97 %
Pedestrian (Detection) 57.89 % 49.11 % 46.84 %
Pedestrian (Orientation) 56.10 % 47.20 % 44.84 %
Pedestrian (3D Detection) 42.84 % 35.48 % 33.00 %
Pedestrian (Bird's Eye View) 47.68 % 40.11 % 37.94 %
Cyclist (Detection) 81.11 % 71.60 % 64.59 %
Cyclist (Orientation) 80.96 % 71.35 % 64.34 %
Cyclist (3D Detection) 70.27 % 57.48 % 50.27 %
Cyclist (Bird's Eye View) 76.28 % 63.36 % 55.87 %
This table as LaTeX


2D object detection results.
This figure as: png eps txt gnuplot



Orientation estimation results.
This figure as: png eps txt gnuplot



3D object detection results.
This figure as: png eps txt gnuplot



Bird's eye view results.
This figure as: png eps txt gnuplot



2D object detection results.
This figure as: png eps txt gnuplot



Orientation estimation results.
This figure as: png eps txt gnuplot



3D object detection results.
This figure as: png eps txt gnuplot



Bird's eye view results.
This figure as: png eps txt gnuplot



2D object detection results.
This figure as: png eps txt gnuplot



Orientation estimation results.
This figure as: png eps txt gnuplot



3D object detection results.
This figure as: png eps txt gnuplot



Bird's eye view results.
This figure as: png eps txt gnuplot




eXTReMe Tracker